Acute Cardiac Event: Understanding The Causes, Symptoms, And Treatment

Introduction

It was a typical day for me when suddenly I felt a sharp pain in my chest. I thought it was just indigestion, but the pain intensified and I started feeling dizzy. I was rushed to the hospital where I was diagnosed with an acute cardiac event. It was a terrifying experience that made me realize the importance of understanding this condition.

What is Acute Cardiac Event?

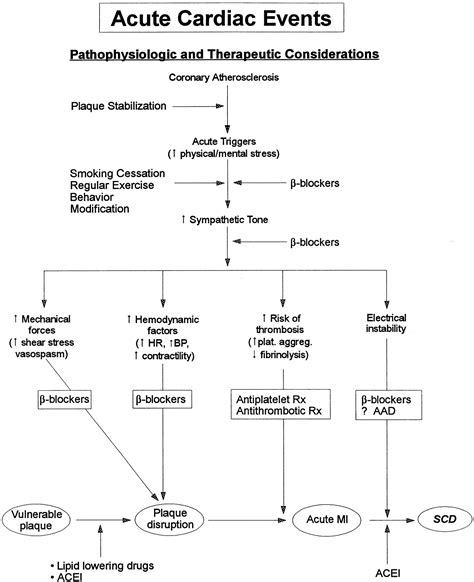
Acute Cardiac Event refers to sudden and unexpected symptoms of heart disease. It includes conditions like heart attack, angina, and heart failure. It occurs when the blood flow to the heart is blocked, reducing the supply of oxygen and nutrients to the heart muscles.

Causes of Acute Cardiac Event

There are various factors that contribute to the development of acute cardiac events. The most common cause is the buildup of plaque in the arteries that supply blood to the heart. Other causes include high blood pressure, smoking, obesity, diabetes, and stress.

Symptoms of Acute Cardiac Event

The symptoms of acute cardiac event vary from person to person, but the most common ones are chest pain, shortness of breath, dizziness, nausea, and sweating. It is essential to recognize these symptoms and seek immediate medical attention.

Treatment for Acute Cardiac Event

The treatment for acute cardiac event depends on the severity of the condition. It may include medications to lower blood pressure, reduce cholesterol levels, and prevent blood clots. In more severe cases, surgical procedures like angioplasty or bypass surgery may be required.

Events and Celebrations for Acute Cardiac Event

There are various events and celebrations organized to raise awareness about acute cardiac events. Some of the popular events include Heart Walk, Heart Run, and Heart Health Expo. These events promote a healthy lifestyle and encourage people to take preventive measures to reduce the risk of heart disease.

Heart Walk

Heart Walk is a charity event organized by the American Heart Association. It involves a non-competitive walk to raise funds for research and education on heart disease. It is a fun-filled event that brings together people of all ages to support a cause.

Heart Run

Heart Run is a running event that aims to promote physical activity and cardiovascular health. It includes different categories like 5K, 10K, and half marathon. It is a great way to challenge yourself and stay motivated to maintain a healthy lifestyle.

Heart Health Expo

Heart Health Expo is an educational event that provides information on heart disease prevention and treatment. It includes interactive sessions with healthcare professionals, health screenings, and fitness demonstrations. It is a great way to learn more about your heart health and take proactive steps to prevent heart disease.

Question and Answer: FAQs

Q: What are the risk factors for Acute Cardiac Event?

A: The risk factors for Acute Cardiac Event include high blood pressure, smoking, obesity, diabetes, and stress. It is essential to recognize these risk factors and take preventive measures to reduce the risk of heart disease.

Q: Can Acute Cardiac Event be prevented?

A: Yes, Acute Cardiac Event can be prevented by adopting a healthy lifestyle, including regular exercise, a balanced diet, and stress management. It is also crucial to manage any underlying medical conditions like high blood pressure and diabetes.

Q: What should I do if I experience symptoms of Acute Cardiac Event?

A: If you experience symptoms of Acute Cardiac Event like chest pain, shortness of breath, dizziness, nausea, or sweating, seek immediate medical attention. Call 911 or go to the nearest emergency room.

Q: What are the treatment options for Acute Cardiac Event?

A: The treatment for Acute Cardiac Event depends on the severity of the condition. It may include medications to lower blood pressure, reduce cholesterol levels, and prevent blood clots. In more severe cases, surgical procedures like angioplasty or bypass surgery may be required.

Q: How can I reduce the risk of Acute Cardiac Event?

A: You can reduce the risk of Acute Cardiac Event by adopting a healthy lifestyle, including regular exercise, a balanced diet, and stress management. It is also crucial to manage any underlying medical conditions like high blood pressure and diabetes.

Conclusion

Acute Cardiac Event is a serious condition that requires immediate medical attention. It is essential to recognize the symptoms and take proactive steps to prevent heart disease. By adopting a healthy lifestyle and managing any underlying medical conditions, we can reduce the risk of Acute Cardiac Event and live a healthy and fulfilling life.

OCT497Lect_week11_Return to Work for Cardiac event patient YouTube
OCT497Lect_week11_Return to Work for Cardiac event patient YouTube from www.youtube.com

Acute Cardiac Event: Understanding The Causes, Symptoms, And Treatment

Leave a Reply

Your email address will not be published. Required fields are marked *